强连通图
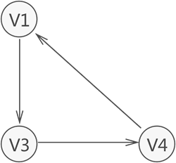
有向图中,若任意两个顶点 Vi 和 Vj,满足从 Vi 到 Vj 以及从 Vj 到 Vi 都连通,也就是都含有至少一条通路,则称此有向图为强连通图。如下图所示就是一个强连通图。
![图片[1]-强连通图,单向连通图,弱连通图,强连通分图-开心之家](https://hpa.1ct7.top/wp-content/uploads/2022/05/4.gif)
单向连通图
设G=(V,E)是有向图,对于任意u,v∈V,从u可达v或者从v可达u,则称G为单向连通图(unilateral connected digraph)。
弱连通图
将有向图的所有的有向边替换为无向边,所得到的图称为原图的基图。如果一个有向图的基图是连通图,则有向图是弱连通图。
强连通分图
1.图V1是图V的强连通分支当且仅当同时满足以下三个条件:
a.V1是V的子图;
b.V1是强连通图;
c.V中不存在包含V1的强连通子图。
2.有向图D=(V,E)的每个点位于且仅位于D的某个强(弱)连通分支中。这就是说,求强连通分支数的时候得到的强连通分支的并(总和)应该包含图中的任何一个点。
简单举个例题(就拿学习通的一道选择题为例吧)
例:下图中强连通分支的个数为(
![图片[2]-强连通图,单向连通图,弱连通图,强连通分图-开心之家](https://hpa.1ct7.top/wp-content/uploads/2022/05/Screenshot-2022-05-10-204448-1-1024x832.png)
再看一道网上的题,下图中其强连通分支数有三个,包含顶点为{1,2,3,4},{5},{6}。
![图片[3]-强连通图,单向连通图,弱连通图,强连通分图-开心之家](https://hpa.1ct7.top/wp-content/uploads/2022/05/125ed0ecd3d96975a79fd42ad243040149fe09f2-1-1.jpg)
强连通图,单向连通图,弱连通图三者间的关系(重点)
网上查阅资料编撰,有不正确的请指出,谢谢大家!
© 版权声明
文章版权归作者所有,未经允许请勿转载。
THE END













暂无评论内容