排序
解决CQ码使用报错无法发送语音
一.问题详情 go-cqhttp中出现如下错误:encode silk failed: convert pcm file error: exec: 'ffmpeg': executable file not found in %PATH% 将忽略本段CQ码。 没有配置“ffmpeg”的环境变量,...
jupyter notebook 报错 500 : Internal Server Error的解决方法
1.问题:jupyter notebook能打开目录页,但是无法正常打开.ipynb文件,如下图所示报错:2.解决输入如下命令,安装nbconvertpython环境:pip install nbconvertAnaconda虚拟环境:conda install ...
C++ 错题集
28. (判断题) 下面代码表明B是A的公有的友元类。 class B{...}; class A{ public: friend class B; }; 错 32. (判断题) 单例模式属于面向对象的设计模式。 错 6. (单选题) 所谓数据...
密码保护:杂文(无所事事)
初识Linux 1.登入取得终端机后,要离开终端机应该使用哪些指令? (至少写两个) exit,logout 2.查询列出隐藏文件时,可以使用什么指令搭配什么选项? ll -a 3.想要查询自己输入的历史命令,可...
滤波器的设计(巴特沃斯滤波器)
fp=3000; Rp=2; fst=6000; As=30; OmegaP=2*pi*fp; OmegaST=2*pi*fst; [N,OmegaC]=buttord(OmegaP,OmegaST,Rp,As,'s');%求解滤波器的阶数N和3dB截止频率OmegaC [b,a]=butter(N,OmegaC,'s');%求...
矩形序列离散时间傅里叶变换matlab实现
n=0:6; x=R(n,7); w=[0:1:500]*pi/500; [X]=dtft(x,n,w); mX=abs(X);aX=angle(X); re=real(X);im=imag(X); subplot(2,2,1); plot(w/pi,mX); xlabel('以pi为单位的频率'); title('幅度部分'); yl...
密码保护:离散傅里叶变换与分析
一.函数使用 1.内置函数 fft:快速傅里叶变换 用法:fft(X)。 set(gca,'XTick',[0 1 2 3 4 5 6]):X坐标轴刻度数据点位置。 2.自定义函数 以下函数保存为.m文件可以直接调用。 1.矩形序列函数 f...
力扣每日一题
https://leetcode.cn/problems/possible-bipartition/题目:给定一组 n 人(编号为 1, 2, ..., n), 我们想把每个人分进任意大小的两组。每个人都可能不喜欢其他人,那么他们不应该属于同...
模式识别层次聚类
聚类顺序为(x2,x4),(x2,x3,x4),(x2,x3,x4,x5),(x1,x2,x3,x4,x5),样本距离计算选择single linkage ,和图聚类顺序一致。 图 x1x2x3x4x5x1026242523x226012325x324120715x42537024x5232515240初始...
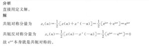
数字信号DFT课后习题
用到的公式 1.DFT:2.欧拉公式:3.三角变换:(k为整数)4.IDFT反变换5.帕塞瓦尔定理(具体推导过程请点击查看)6.DTFT定义: 1.求复指数序列x(u)=ejwn的共轭对称分量与共轭反对称分量。 2.求以...









